Our new study published in the International Journal of Sport Physiology and Performance, by Ryu Nagahara et al. (Pubmed reference here)
The story behind the study
I first met Ryu Nagahara when he was a highly motivated graduate student, and came over to Europe to visit a few research labs, including mine, in Saint-Etienne. I was so impressed by such a remarkable will to travel, discover and learn new things that I immediately said OK. We have been collaborating and published studies about sprinting together (see here). Ryu has also published very interesting studies on sprint mechanics (open access, see here), including an impressive 60 video-camera analysis of the sprint kinematics over a 60-m sprint acceleration…
For this new study, we aimed at using the recently validated simple field method for analyzing force-velocity-power in sprinting (Samozino et al. 2015 here) to better understand the effects of real soccer match practice on the sprint acceleration mechanical outputs of force, velocity and power.
Study design
To our knowledge, the physical consequences of fatigue in the soccer context had hitherto been studied with either of these approaches (see the paper for detailed references):
- non-specific testing (isometric force in single joint testing, vertical jump) occurred before vs. after a real soccer game, or
- testing (specific or not) was performed before vs. after a simulation of a soccer game based on 90 min of equivalent amounts of walking, jogging, low-, high-speed and sprint running. Those of you who already have completed an entire soccer game (I did for 10 years, but as a goalkeeper, haha) know that this type of simulation, yet covering the same amounts of distance/time efforts do not come close to the real demands of the game. This is mainly due to the acceleration-deceleration, change of direction, contacts, jumps, impacts, ball hits that are (i) not accounted for in such simulations and (ii) highly demanding from a muscular and energetic standpoint
In addition, although sprint performance is known to decrease with fatigue in a repeated sprint protocol or a real soccer game, we do not know the underlying mechanical factors involved (force, velocity, power). Our recent studies clearly showed (see my previous post and this reference) that sprint time does not tell the full story, and that a given sprint time might result from very different combinations of mechanical muscular capabilities of force and velocity. This has consequences on training design, but we also wanted to investigate how fatigue induced by a real soccer game (and the associated decrease in short sprint performance) would influence the main mechanical determinants of sprint acceleration performance. The secondary aim was to check whether some time-motion features of the game (e.g. total distance covered, distance run at high-speed, number of high-speed runs, etc…) were related to the decrease in these mechanical variables.
The overall idea was to use these results to better identify the causes of soccer-specific fatigue, and potentially better design the training load accordingly, so that players can perform better, throughout the game, from a physical standpoint of course.
Measurements
13 players from a Japanese college soccer club (top team) participated. They performed a 35-m acceleration (sprint-specific testing for sprint acceleration performance and mechanical outputs, Samozino et al.’s method) just before and just after each half of a friendly game (i.e. 4 sprints in total). This allowed us to also consider pre-post half time changes, in addition to pre-post game. Data for two games were considered, for more reliability.
![]() |
| Sprint performance and mechanical output testing. Credit Ryu Nagahara |
The time-motion analysis of players’ activity was performed with 15 Hz GPS units (GPSPORTS) carried by the players over the entire games.
Main results and practical applications
- sprint acceleration performance was lower after the game. Nothing new here (naysayers, please relax…), but that was not the aim of the study. The aim was to know WHY this performance decreased, because of what mechanical feature(s) of the sprint acceleration
- this lower acceleration performance was associated with a lower maximal power output. Again, nothing surprising, just cool to measure specific sprint power output (no jump, no single joint testing, no isometric effort)
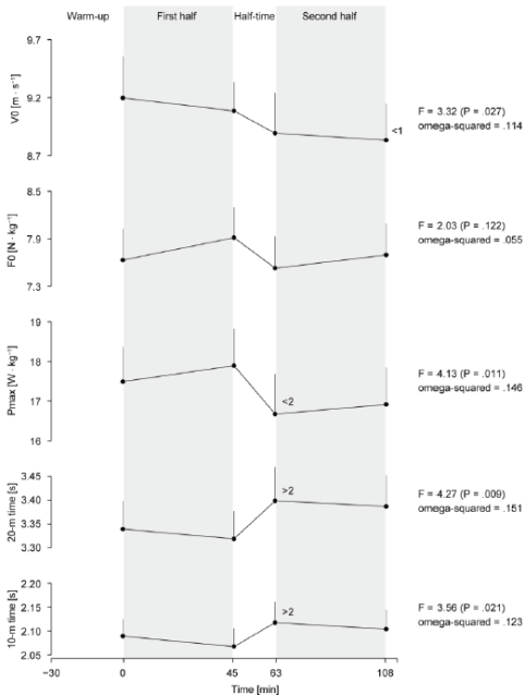
- the main outcome was in fact that this change in sprint performance and mechanical power was explained by a decrease in maximal velocity capability (i.e. the ability to produce horizontal force at high running speed, as indicated by the V0 variable, see our previous post for details) with no change in the maximal force output over the game
- interestingly, a within half-time analysis shows that although V0 systematically decreases over the game, F0 tends to increase within each half-time, and drops during the half-time break, as do Pmax and 10- and 20-m times.
- finally, we observed that the strongest correlate of the decrease in V0 (P = 0.067) was the total distance run at high-speed (>20 km/h, 60% of subjects’ top speed) during the game (733m on average here).
![]() |
| Changes in the main performance and mechanical outputs during the game, including pre- and post-half-time break |
In our opinion, the main practical applications of these results are that the sprint acceleration work and especially under fatigue (repeat sprints, training drills in fatigue state as discussed in this very interesting paper, etc…) should consider the maximal velocity capability (V0) and especially the ability to produce force at high running speed in soccer players. Of utmost importance seems to be what happens (or not) during the half-time break. Substantial changes were observed between pre- and post-break measurements…definitely a considerable field of investigation (re-warm-up strategies, etc…)
The results and main conclusions of this new study might sound contradictory with some of our recent conclusions on sprint acceleration capability and the importance of F0, effectiveness of force application, and the interest of heavy-load resisted training, but one has to keep in mind that we were considering “fresh” all-out single accelerations in our recent studies.
The present study is addressing a soccer-specific fatigue context, and the applications seem different (complementary…) between the two contexts. Sorry to conclude that “things are not so simple” but this pilot study brings interesting data, showing that the key mechanical feature of “sprint performance” differ between single or repeated sprints, with or without fatigue, in a soccer-specific context or not.
After all this is really fascinating from both research and high-performance practice standpoints to conclude that “things are not so simple” and to answer “it depends” to the hot question “what should we focus on to have players sprint better and resist the effects of fatigue better?”. Not to mention the relationship with injury risk…
Limitations and future works
This is a pilot study. So next protocols should confirm/infirm our results. Specifically, it would be great to see similar data on higher-level players, during official competitions (friendly game here), controlling for game tactics, coach’s strategy and other uncontrollable things (see here).
Of course the next step is to investigate whether specifically designed training can limit the effects of fatigue observed here and if this results in a better physical performance on the pitch, and in turn a better “soccer” performance (just press the “dream” button or plan on new studies).
Finally, one important thing to keep in mind is that our study focused on team-averaged data, and did not go deep into individual responses. Although it was not really the case in our study, there might be important inter-individual responses to consider for an optimized training and management of sprint acceleration capability. In regard to our recent studies on FVP profiling, this individual approach is definitely the key for a more efficient management of team sport physical performance…more results to come about rugby players…stay tuned! “Collective individualization”
The non-edited version of this study is available upon request as a private sending on my ResearchGate page.


really informative blog to all itsinspireme
LikeLike
very informative blog , for more information click here
LikeLike
Thiss was a lovely blog post
LikeLike