Our new study published in Frontiers in Physiology (Open Access)
The story behind the study
We started thinking about this study something like 5 years ago, and undertook the heavy protocol 3 years ago. It is, in my opinion, the best teamwork I’ve had the chance to lead so far. We needed this to tackle a hot topic (sprint acceleration performance and the role of hamstring muscles) from various and complementary standpoints.
Background: the “hip extensors hypothesis”
Our experimental results published in 2011 (recreational subjects and regional-level sprinters) showed that the horizontal component of the Ground Reaction Force (GRF), as measured on an instrumented treadmill (see video), was a key determinant of sprint acceleration and 100-m performance on the track. We also defined the concept of “Ratio of Force” (RF, Figure 1), that is the ratio of the horizontal GRF to the resultant GRF. The former represents the force that will accelerate the runner’s center of mass forward, while the latter represents the overall force output of the runner during the push. In other words, RF is an index of the mechanical effectiveness for a given running step. It is computed as the percent of the overall force produced by the athlete that will be applied in the horizontal direction. If I apply 1000 N on average during the support phase, and the corresponding net horizontal component is 200 N, my RF is 20%. Should I orient the same amount of resultant GRF (1000 N) a bit more forward during my stance, say with a 40% RF, the horizontal net GRF will be 400 N, and in turn my body will accelerate more, ceteris paribus.
Our second observation was that all the subjects we tested, from lab rats to European Champion showed a linear decrease in the RF step after step as the running velocity increased during the sprint acceleration. We defined the “decrease in RF” (Drf) as the slope of this linear decrease. Both our 2011 study and another one published in 2012 including elite sprinters showed that this Drf was significantly correlated with 100-m and acceleration performance. Note that in both studies, the resultant GRF and the vertical components were not related to acceleration performance.
Our conclusion was that the magnitude of GRF produced was not related to acceleration performance, whereas the way this resultant force was applied onto the ground (i.e. the mechanical effectiveness) was. A track and field coach (and naysayer-in-chief) told us “hum, treadmill data = treadmill conclusions, I’m not training people for the treadmill sprint Championships”. The thing is that our 2015 study performed on a track(using embedded force plate systems) in elite sprinters confirmed the above-mentioned treadmill data and results. BAM…
The question of open-minded coaches was then “well, what are the muscular determinants of this mechanical effectiveness”. Answering this question would lead to a better understanding of sprint performance, but more importantly, to new insights into training methods to improve this key variable (our current projects).
When looking at our data in more details, we saw that the difference in effectiveness between a world-class sprinter (French athlete Christophe Lemaitre, 9.92s on 100-m at the time of the study), his high-level teammates (national relay for some of them) and non-specialists (PE students and us researchers) was not clear at low running speeds, but very clear at high running speeds (see below). This means that better sprinters tend to produce a higher RF and thus a higher mechanical effectiveness (i.e. a more horizontally-oriented GRF) at high velocity, not at low velocity.
This observation led us to hypothesize that the hip extensor muscles, hamstrings in particular, would play a role in mechanical effectiveness of GRF application and horizontal GRF production for the following reasons:
1/ at high running velocities, the body is overall in a standing position, and the knee pretty extended at touch-down and during the stance. In this situation, from a functional anatomy standpoint, the only action leading to a backward push of the foot on the ground is violent hip extension. Think of the “kickbike” races below or child scooter propulsion…makes sense
2/ in animals, wild turkeys and other bipeds with outstanding acceleration capabilities have overall very powerful “hip extensors”, i.e. muscles acting to extend their first lower limb joint, the equivalent of our hip joint (see for instance this paper byRoberts et al.):
3/ modeling, simulation and case-studies overall agree on the fact that the most risky context for sprint-related hamstring tear is at high-speed, at the end-of-swing to contact transition, i.e. the phase of the running cycle when the fast eccentric load on the hamstrings is peaking (eccentric braking of the fast knee extension + hip flexion-to-extension transition).
We hypothesized that the subjects who produced the highest amount of horizontal GRF during a sprint acceleration would be those with high force capability in the hip extensors.
Study design
14 male sportsmen used to sprint (mainly rugby players and athletes) performed 6-s sprints on the instrumented motorized treadmill (see video) with synchronized EMG measurements on the main lower limb muscles, including biceps femoris and gluteus maximus. In order to have an idea of their muscular force capability (in both concentric and eccentric mode), we using isokinetic testing. No better possibility to assess a muscle group strength, alternative methods use simulation modeling to estimate muscle force. Not sure which approach is the most accurate, we chose the direct measurement, despite the non-functional movement and not realistic joint angular velocity…better than no measurement at all, plus we can reasonably assume that subjects kicking ass on the isokinetic machine actually have high force output capability.
Then, we tried to see what variables were related to the horizontal GRF production during sprint acceleration (average value over the 6-s).
Note that the main advantage of the instrumented treadmill we used is that contrary to many “acceleration” protocols, we used a real acceleration design (i.e. continuous measurement over a continuous increase in running velocity), whereas previous studies compared increasing speed conditions, but measurements were systematically performed at constant speed. I think it is mechanically very different to accelerate versus to run at increasing values of constant velocity. See the excellent paper of A. Schache on this topic.
![]() |
|
It is possible to synchronize electromyography measurements and video motion analysis.
|
Finally, we measured the 2D motion of the knee and foot in the sagittal plane, to test the validity of famous coaches rules: high knee and fast backward kick before touchdown (the “pawing” action) will result in great backward kick once the foot is on contact with the ground, and thus great forward acceleration.
As an athlete and a coach myself I followed this rule, although no experimental data has clearly and consistently supported this statement, to our knowledge.
![]() |
|
Foot path and knee path relative to the ground for all steps of a sprint acceleration
|
Main results and practical applications
These measurements gave a ton of results, we detail them in the paper, and here I will only list the most important ones:
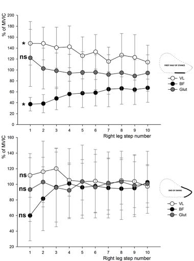
1/ As shown in the Figure below, the hamstring EMG activity, when measured continuously over the acceleration, shows a pretty low level compared to other lower limbs muscle during the stance phase (upper panel). Contrastingly, it reaches values close to those of a maximal voluntary contraction during the end-of-swing phase (lower panel). This is in line with previous studies, and with the fact that this phase is the key phase during which the muscle strain is maximal
2/ when considered separately, neither maximal isokinetic torque output nor EMG activity of the hamstring were significantly related to horizontal force production. Concerning the muscle isokinetic torque, this is not surprising since angular velocity during isokinetic testing is much lower than joint angular velocity during sprint acceleration. The lack of relationship between EMG alone and horizontal force output is not surprising either, since EMG activity is representative of a muscle group activity, in % of the activity during a maximal isometric contraction. So it does not tell the amount of force produced. Imagine you put EMG electrodes on my skinny biceps, I can have a 100% maximal EMG activity, with a very low force output in fine…
3/ we used multiple regression analyses to test the relationship between the 2 aforementioned independent variables (muscle isokinetic torque capability and EMG activity) and the horizontal force production as dependant variable. Our hypothesis was validated since we obtained significant and clear relationships between the horizontal ground force output (averaged over the entire acceleration) and the “mix” between hamstring torque capability (in concentric mode, but even more clearly in eccentric mode) and their activity in the end-of-swing phase (also averaged over all steps of the sprint). It may seem counterintuitive that hamstring are much more activated during the end-of-swing phase that during the immediately following stance phase. However, if one takes into account the fact that a sprint stance lasts around 100-120ms, and that a delay exists between a muscle EMG activity and force production by this muscle (the ElectroMechanical Delay), this makes sense. Hamstring activity is maximal just before contact so that their role in horizontal production during contact is maximal. This maximal activity added to the mechanical strain (fast eccentric action) during the end-of-swing phase explains why most hamstring strains occur during the end-of-swing phase and/or early contact.
4/ contrary to what we expected, no significant result was found for the other hip extensor group, that is glutei muscles (only tendencies). This may in part be due to the fact that the sprint start was in a crouched yet standing position (no starting blocks), and that the isokinetic testing positions used for glutei strength assessment was not optimal.
5/ another unexpected result was the absence of relationship between foot kinematics in the sagittal plane and horizontal ground reaction force output. In particular, the backward velocity of the foot at touchdown was absolutely not related to the subsequent horizontal force output. This is contrary to some of Ralph Mann’s statements and a very popular coaches belief. In my opinion, this is due to the fact that the mechanical constraints are totally different between a high-speed/low-force movement of the leg (while in the air before touchdown) and the immediately following high-force/low-speed movement as the foot touches the ground. Two different worlds. Although this unexpected result needs confirmation in skilled sprinters, the experimental data we collected are clear. The fast pawing action and backward “Skip B-drill” whip is not related to a subsequent high horizontal propulsive force, in our study. Note that to our knowledge, the aforementioned popular coaches belief that these two actions would be related has not been supported by experimental data relating foot backward velocity and horizontal propulsive force. Sometimes things “make sense” until you measure/test them experimentally…
Take-home message
The athletes who produced the highest amounts of horizontal (i.e. effective) ground reaction force during a sprint acceleration were those how had BOTH a high concentric but more importantly eccentric torque production capability on the isokinetic machine AND a high EMG activity in the biceps femoris (hamstring) muscle during the swing and end-of-swing phases. This means that hamstring muscles likely play a key role in horizontal force production and in turn in sprint acceleration performance.
It is now well established that these muscles are at high risk of strain injury during the swing-phase of high-velocity running, and that their level of force output (especially in eccentric, long-length, high-velocity conditions) is a significant risk factor.
Therefore, our study shows that, in addition to its significant role in injury mechanism, hamstring strength and activity in eccentric mode is also related to sprint acceleration performance.
”Prepare and repair”, hamstring work is at the center of a win-win strategy.
Limitations and future works
This pilot study needs confirmation, and the main limits are the fact that subjects were rugby and other team sport players, and non-elite athletes. A higher-level population may have helped to confirm/infirm the main results. Furthermore, muscle strength capability was tested in isokinetic mode, which is not exactly reproducing the sprint conditions. However, we do not have alternatives to experimentally measure muscle force output in vivo during maximal power actions, and I’m not a big fan of simulation modeling to estimate muscle force. However, we can reasonably assume that the level of strength on the isokinetic machine is a good indicator of the overall level of strength of the subjects for the muscular groups tested.
Future works (well current works in fact) will mainly tackle these two questions:
1/ how do these results/conclusions change with fatigue induced by sprint repetition, as in the real world of team sports such as soccer or rugby. Cool thing is that in the present study, we only focused on the first sprint of a series of 12 sprints. So we are currently working on the other 11 sprints to see the fatigue-induced changes, writing in process!
2/ how can we train for higher horizontal ground force production? Is hamstring strength training useful? What modality? Is classical “vertical” strength work really effective to transfer and increase the level of horizontal force in trained athletes?
Lot of new and interesting stuff coming up, thanks to the hard work of all my teammates in France, Spain, New-Zealand and UK!







i love the way of your article with video and images
LikeLike